声声传韵·第21期(教师节特辑)丨遇见光,追逐光,成为光
新湖南 • 文化湘西
2024-09-10 07:11:26
首页头条收录

文字如星辰闪耀,启迪智慧。
声音如清泉流淌,润泽心灵。
当文字与声音相遇,如鱼得水,如鸾凤和鸣,如花香遇春风,彼此赋予灵魂。
读漫卷诗书,咏山川湖海,诵清风明月,吟烟火人间。
这里是分享情感与故事的心灵树洞,是辩证与思索的精神空间,是追寻美好与梦想的诗意栖居地。
愿你我,以文为伴,以声为介,共同觅得内心的宁静、惬意与自由。

(🎵点击播放,听听他们的故事)
陈紫歌

陈柯丞


彭滢朵

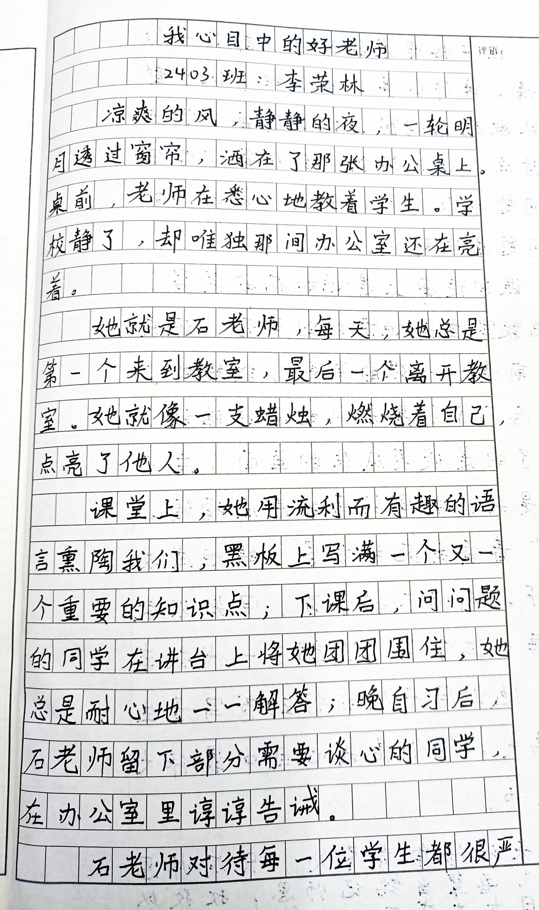
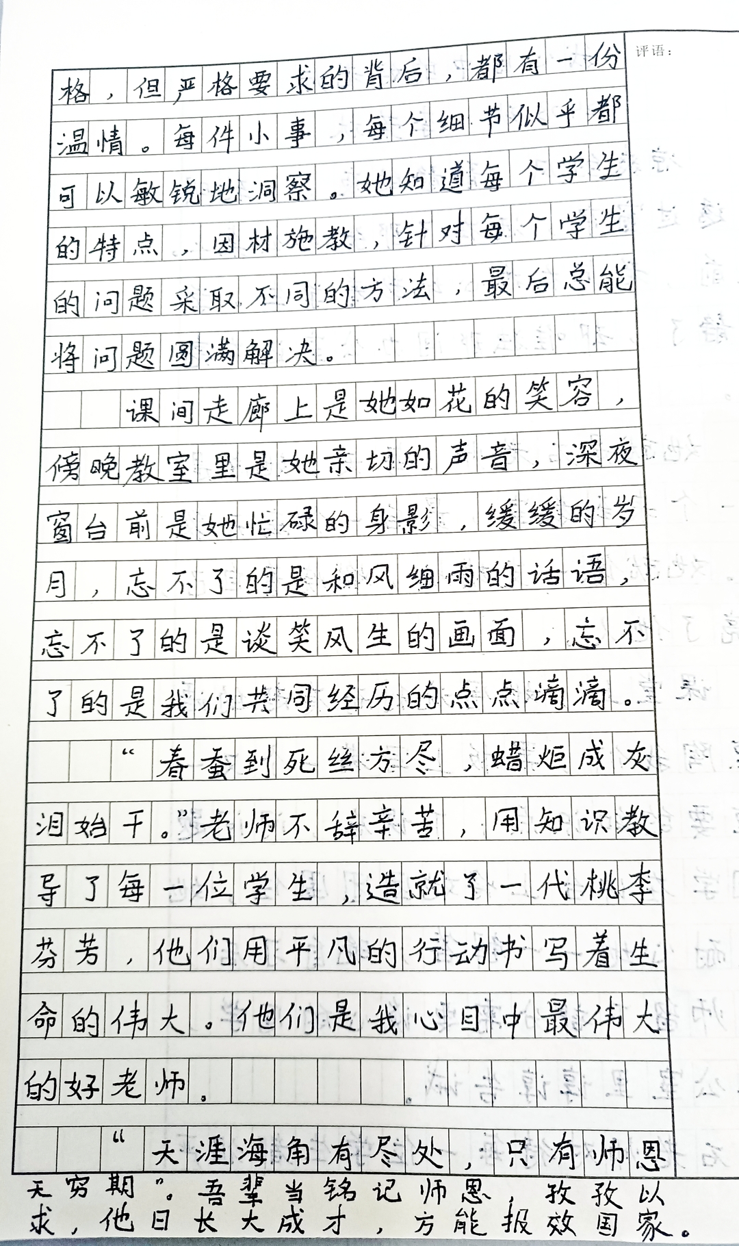
李荣林


姚鉴中

周芯宇

叶润怡



【征集令】
投稿邮箱:hnrbxxfs@163.com
联系电话:0743-2132361
投稿须知:
期待您的作品(*^▽^*)
本栏目由湖南日报社、新湖南客户端主办,湘西州作协诗歌委员会协办。
统筹/张颐佳 执行/黄馨怡
专题入口→声声传韵
作者:陈紫歌 陈柯丞 彭滢朵 李荣林 姚鉴中 周芯宇 叶润怡 黄馨怡
责编:黄馨怡
一审:莫成
二审:杨元崇
三审:张颐佳
来源:湖南日报·新湖南客户端

湖南日报新媒体




