随着冷空气的到来,最近几天北方是气温骤降啊!不知道大家有没有感受到寒冬将至的讯息呢?反正小编已经是抱着被子瑟瑟发抖了。

北京最近的天气丨图源中国天气网
不过考虑到立冬之后天气还会更冷,本着“春捂秋冻”的指导思想,小编决定靠着一身正气,再坚持(苟住)一段时间。

瑟瑟发抖的同时,小编突然想到,从物理学的角度出发,究竟什么时候换厚衣服比较合适呢?要不要穿秋裤,衣服加多少合适?不如让我们来探索一下这个问题。(省流:结论在末尾)
人体的产热
众所周知,正常没有发烧的人体深部的体温大概在37±1 °C的范围,作为恒温动物的人要保持自己的体温,就要不断产生热量。人体的“发热机”主要依靠骨骼肌和肝脏,他们俩分别在运动状态和安静状态承担了机体大部分的产热。在安静时所产生的热量是83.72W(每小时72 kcal),在运动时所产生的热量是安静时的3倍。而冷环境刺激可引起骨骼肌的寒颤反应,使产热量增加4~5倍。所以我们在剧烈运动大汗淋漓的时候,通常不会觉得冷。

燃烧吧我的小肝脏!丨图片由BingAI生成
此外,人还有一套体温调节系统,人体温度的调节主要由大脑中的下丘脑调节,下丘脑通过神经和激素等途径来调节体温,能够在寒冷的时候增加产热减少散热。
人体的散热
常看物理所公众号的大家一定知道,热的传递方式有三种:热辐射、热传导以及热对流。我们人体也有四种不同的散热途径来调节人体的体温:热辐射、热传导、对流换热、蒸发散热。

热的三种传递方式丨图源网络
1 热辐射
任何温度高于绝对零度的物品都会产生热辐射,以电磁波的形式辐射能量。根据斯忒藩-玻尔兹曼定律,面积为A、温度为T的物体辐射产生的热量Q:

热辐射与温度的四次方成正比,σ是常数,系数ε与物体自身的性质有关。物理学中的绝对黑体能够在任何温度下将辐射到它表面上的任何波长的能量全部吸收,对于绝对黑体来说ε=1,对于其他物体ε<1。

太阳的热量也是通过热辐射到达地球上丨图源pixabay
由于我们天冷裹着严实的衣服,辐射散热大都被衣物直接吸收,只有裸露在外的头和手脚直接通过辐射散热。
2 热传导
两个物体互相接触,只要介质内或者介质之间存在温度差,就一定会发生传热。热传导传热量Q满足:

ΔT是两个介质的温度差,热阻R的定义是当有热量在物体上传输时,在物体两端温度差与热源的功率之间的比值,单位为开尔文每瓦特(K/W)。热阻也可以通过串并联来计算,串联热阻是指多个热阻依次串联在一起,热量需要依次通过每个热阻层才能传递到下一个热阻层;并联热阻是指多个热阻同时存在,热量可以同时通过多个热阻层传递。
一个有趣的点是,研究发现人坐姿的热阻相对于人体站立状态下的热阻要小4%到18%,坐着散热更多,所以觉得冷了,但是又不想运动,不妨从座位上站起来,可以让你稍稍暖和一点点。

那么为什么不躺着丨图源网络
3 热对流
热对流,是指通过流动介质热微粒由空间的一处向另一处传播热能的现象,只能发生在流体之中。对流散热满足牛顿冷却公式:

其中Q是热流量(W),h是对流换热系数[W/(m•K)]。

热对流示意图丨图源百度
穿上衣服阻断皮肤直接接触空气,我们可以穿着贴身的衣服,皮肤绝大部分与衣服直接接触,这样达到保暖的效果。
对于裸露的皮肤,皮肤跟空气直接接触的地方首先发生的是热传导,发生热传导之后,紧挨皮肤表层的那部分空气温度升高,而离皮肤表层较远的空气温度较低,这样发生对流。
4 蒸发散热
当气温高于于体表温度的时候,或是体内产生大量热量的时候,辐射和对流的方式以及不能满足散热的需要,就需要启动蒸发的方式来带走热量。出汗就是蒸发散热的主要兴水。不过,冬天冷且不运动的时候我们汗液比较少,蒸发带走的热量也很少,可以忽略不计了。
什么是人体热舒适?
人体热舒适是个很复杂的系统,需要衡量的指标有很多。其中比较知名的PMV指标是由Fanger教授于70年代提出的,该指标是以热舒适平衡方程为基础而建立的,代表了同一环境中大多数人冷热感觉的平均,综合了影响人体热舒适的空气温度、辐射温度、空气湿度、空气流速、人体活动程度和衣服热阻。在热舒适领域中,学者们主要关注服装热阻对人体热平衡及人体热舒适方面的影响。

PMV热感觉标尺,通过数值衡量感觉丨图源网络
学会了PMV指标,如果出门发现降温了,经过一通计算以后,就可以不用说“今天稍微有点冷”,可以具体描述为“我感到-1.1451个单位的冷”。这么看来想要确切找到舒服的温度环境还挺不容易!
我们现在就仅仅考虑其中空气温度和服装热阻的影响,认为其他条件保持不变且是属实的条件。只考虑舒适温度的话,人感到舒适的室温温度大概的范围是在在18 ~ 23度,而由于需要散热,人体表的温度要比室温更高一些,33~34度时最为适宜。
不同衣物的热阻
在一般环境中,尤其是偏冷的环境中,服装在维持人体温度方面意义重大。为了定量描述人体和环境之间通过服装进行的换热量,人们提出了“服装热阻”的物理参数,这个热阻与物理上的热阻定义略有不同,是热阻乘上穿衣服的面积。服装热阻的单位为Clo。1Clo=0.155m·K/W。其值越大,衣物的保暖性越好。不同衣服的热阻可以通过多种方法来测量估计,这个量不仅与衣服的材料、制作工艺等等本身条件有关,也会受到环境因素的影响,例如湿度大衣服保暖性能就会差很多。当然我们不可能只穿一件衣服,由于衣服覆盖不到全身,多件衣服叠穿也会对总的热阻有不同的影响。在有效热阻中已经考虑到了这些,总热阻可以按热阻的串联、并联计算。下面给出一些常见服装的热阻:

几种服装的热阻丨图源参考文献1
说了这么多,我需要换多厚的衣服?
我们换厚衣服即改变主要影响的是热阻R,理论上讲,只要穿着合适的衣服,让人体皮肤表面达到舒适温度,并且产热和散热达到平衡,这时候人就会觉得不冷不热啦!

那么我们不妨以我自身为例,来做个非常简单的模型估计:
假设我因为怕冷裹得很严实,身体的绝大部分80%都被衣物覆盖,只有头的20%面积裸露在空气中。衣服内表面紧贴我的身体,已经被焐热到温度等于我的体表温度,因此不考虑这部分身体的辐射散热和对流散热。衣服外表面是室温。这时我身上的热量一部分通过裸露在外的部分热辐射、热传导散失,一部分通过热传导传给了衣服,再通过衣服的散热散失。

我已出舱,感觉良好
我在达到产热-散热平衡时,我的身体:

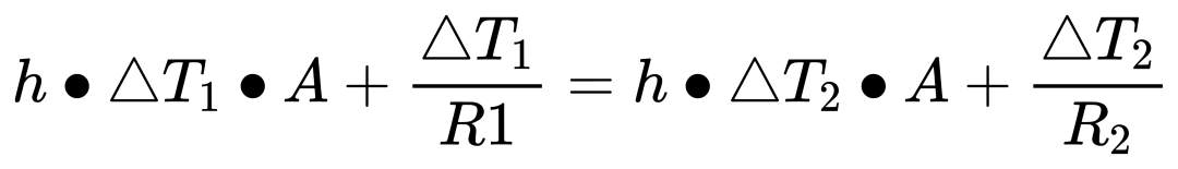
当天气变冷时,要继续维持体表温度不变,温度不变,因此Q热辐射不变。
温度改变但是产热不变,就有

体表舒适温度取33°C,昨天的温度是16°C,我感觉穿现在的衣服还是舒适的,因此我认为ΔT=17K。今天的温度降到14°C,此时ΔT=19K。取空气对流换热系数h=5W/(m·K)

不妨认为我的上半身跟下半身面积相同,我现在穿的是长袖T恤、外套、长裤,其中T恤、外套都在上半身是串联关系,然后再与裤子并联。不穿衣服面积是A,穿衣服部分占4A的面积。总的热阻(这里是物理上的热阻)为R=0.11clo/4A。代入计算那么要继续保持舒服要求,算得R=0.12clo/4A,服装热阻是0.12clo,查表发现只需要多穿一双袜子就可以继续快乐玩耍了(不过按我们的模型要用袜子把整个身体套进去),真是好用啊!

热阻的串并联示意图
那么换个思路,什么时候需要穿秋裤呢?秋裤的服装热阻是0.14Clo,T恤、外套串联,秋裤、裤子串联,然后再并联。那么可以算出全部这些衣服的总热阻R2=0.17clo/4A。代入公式,得到ΔT=26K,那么对应的外界气温降低到7°C。
这样看来下周暂时还能坚持一下!
小伙伴们你们学会了吗?这下再也不用妈妈提醒我穿秋裤啦!
(对于服装热阻的测量原理和成套服装热阻计算问题还请以专业人士为准,这里仅为说明物理原理作简单处理)
所以,到底什么时候能来暖气啊!
参考文献
[1]李敏. 适用于中国地区的热舒适服装热阻的计算方法研究[D].清华大学,2016.
[2]中国标准出版社,2004 [11] 总后勤部军需装备研究所. GB/T 18398-2001服装热阻测试方法暖体假人法[S].
[3]雷丹妮. 服装对人体热舒适影响的实验研究[D]. 重庆大学, 2012.
[4]黑赏罡等, Fanger PMV热舒适模型发展过程及适用性分析. 低温建筑技术, 2017. 39(10)
[5]Havenith,G.,R.Heus,and W.A.Lotens.A Resultant clothing insulation:A function of body movement,posture,wind,clothing fit,and ensemble thickness.Ergonomics,1990,V01.33,npt 1,pp.67-84
责编:谭思敏
一审:周杨
二审:唐能
三审:文凤雏
来源:中科院物理所

湖南日报新媒体



