进入秋冬季节
昼夜温差大
大雾、团雾天气频频来袭
影响了大家的交通出行安全
胡椒蜀黍提醒广大驾驶人朋友
驾车出行请提前了解天气情况
尽量避免雾天出行
关于遇到雾天如何行车
目前胡椒蜀黍已推出了四期文章
没学会的抓紧学习了
今天,蜀黍整理了一份
“湖南高速团雾高发路段”!
请查收!
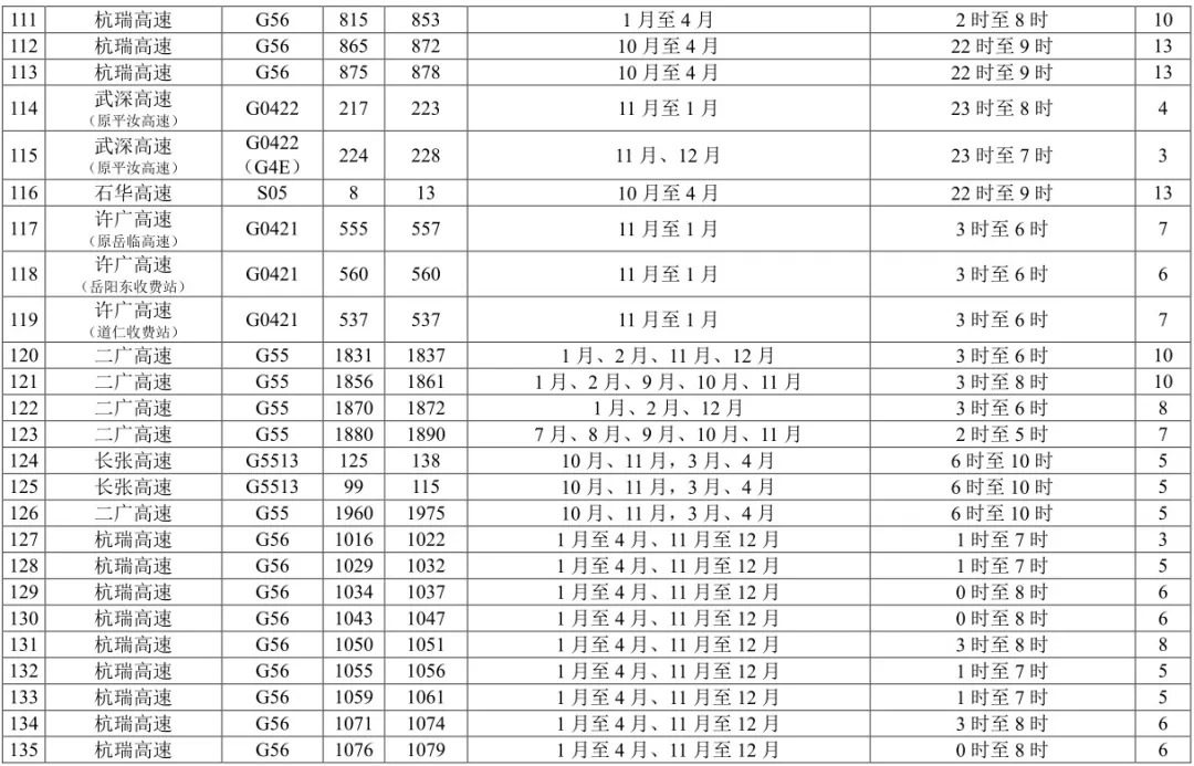
湖南省团雾高发路段
△双击看大图
途经这些路段
突然遇到团雾
也不要惊慌
可以这样操作
遇到团雾该怎么办?
1、如果行驶在高速公路上观察到前方有团雾的发生,在距离和车速都满足变道条件的情况下,确保安全地跟随主体车流,减速驶入最右侧车道,选择就近的出口驶出,或者到服务区暂避,等待团雾消散。
2、如果进入团雾区域后,一定不能就地停车,容易引发连续追尾事故。此时应当减速慢行,打开所有车灯(远光灯除外),与前车保持安全车距,尽量避免紧急制动与急打方向盘。
3、如果能见度非常低,且不能驶离高速公路,应选择紧急停车带或路肩停车,按规定开启危险报警闪光灯和放置停车警告标志,并将车上乘客转移至安全地带,等能见度好转时再继续行驶。
雾天如何安全行车?
一、用灯光
雾天时,视线条件不佳,增加自己被其他人员和车辆看见的机会,将大大降低交通事故发生的可能性,于人于己都有好处。对小汽车来说,要让自己更容易被看见,就要正确使用灯光:后雾灯、近光灯、示廓灯和前后位灯。
而对于大货车来说,还要在车后粘贴专门的反光标识,以便后车及时发现。
二、限速度
雾天能见度降低,开车一定要控制车速,因为当速度过快的你发现前车时很可能已经来不及做出反应!根据《道路交通安全法实施条例》相关规定,不同能见度条件下,对车速的要求是:
▼▼▼
当能见度低于50米时,建议还在高速公路上的您在确保安全的前提下就近驶入服务区或驶离高速。
三、控距离
雾天时,由于驾驶人的视距缩短,驾驶人能观察到的前方环境也随之缩短。因此,除了要控制车速之外,还要保持合适的安全车距。
▼▼▼
四、其他注意事项
秋冬季节多雨雾,驾车出行勿急躁。
安全驾驶很重要,谨慎慢行不抢道。
最后
我们一起来关注明日天气
明日天气
湖南省气象台预计,近期全省雨量偏少,湘西降水量及雨日多于其他地区,湘东干旱维持。
今天08时至明天08时,湘西晴天转多云,其他地区晴天间多云。
明天08时至后天08时,湘西北、湘西多云到阴天,其他地区晴天到多云。
11月2日08时至11月3日08时,湘东北阴天,其他地区阴天有小雨。
责编:曾璇
来源:湖南高速警察

湖南日报新媒体



